• Предмет: Алгебра
  • Автор: dsaddlo
  • Вопрос задан 3 года назад

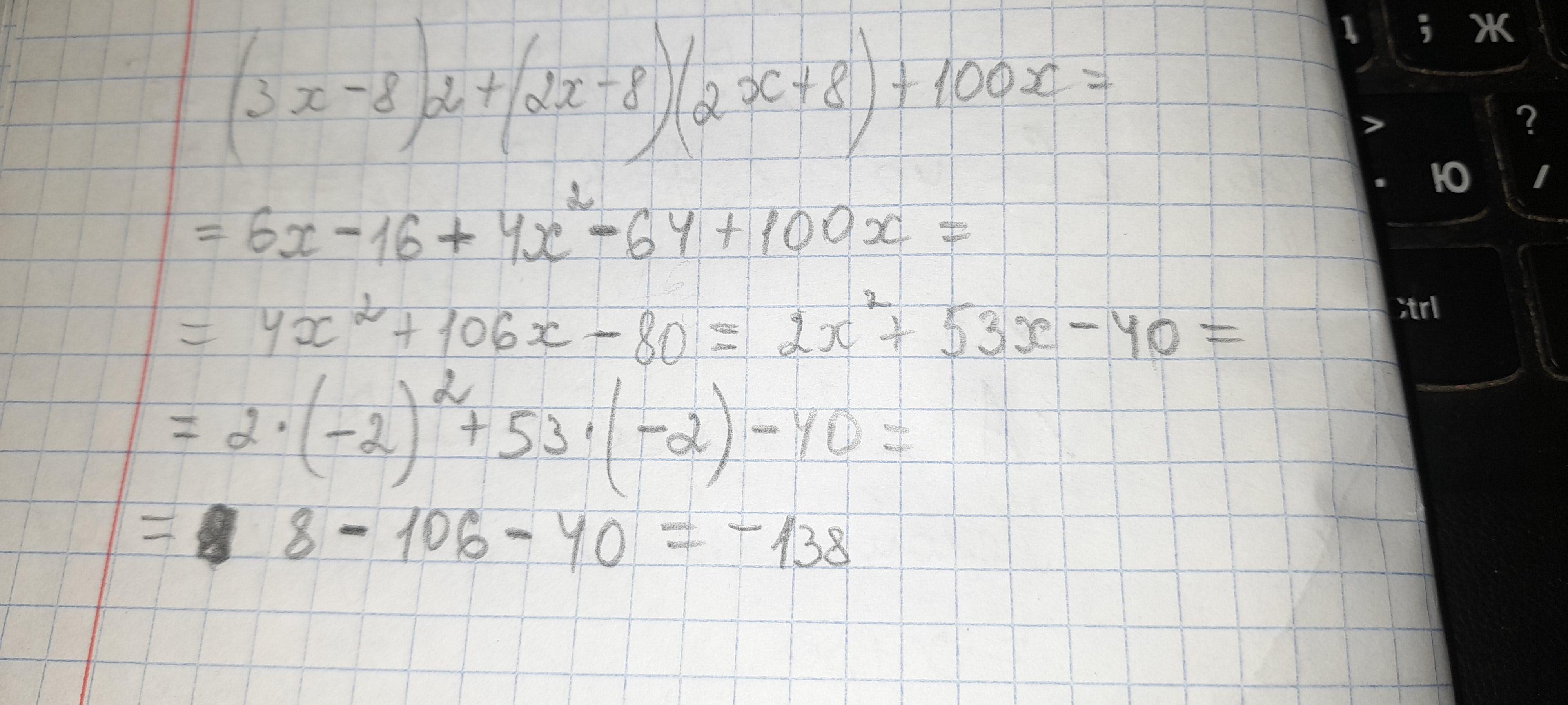
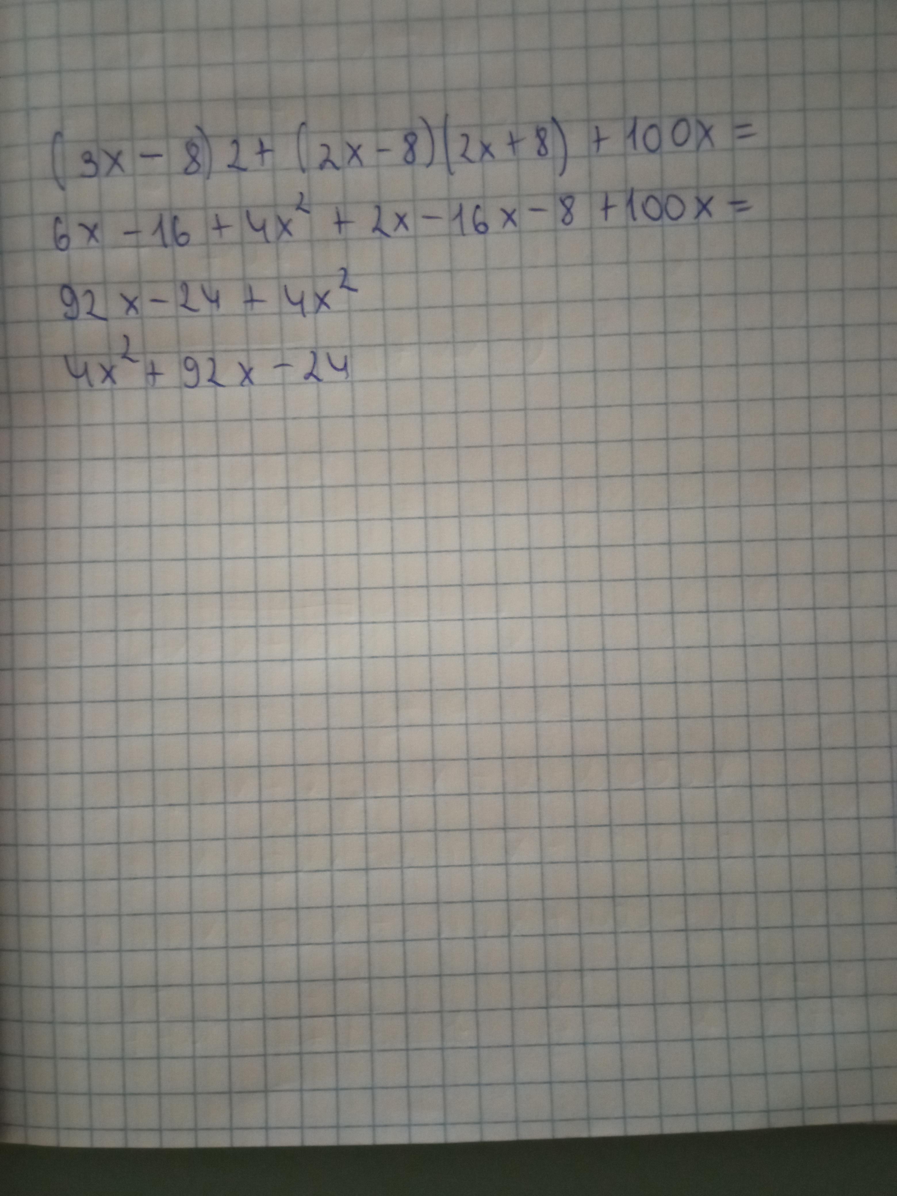
a) Упростите выражение: (3х − 8)2 + (2х − 8)(2х + 8) + 100х
b) Вычислите значение выражения (3х − 8)2 + (2х − 8)(2х + 8) + 100х
при х= -2.

Ответы

Ответ дал: pando4kaoli
1

Ответ:

Решение

Объяснение:

Приложения:
Ответ дал: babichnatasha1812
0

Ответ:

Объяснение:

=6x-16+4x^2-64+100x=4X^2+106X-80=

=2X^2+53X-40=2×(-2)^2+53×(-2)-40=

=8-106-40=-138

Приложения:
Вас заинтересует