• Предмет: Информатика
  • Автор: danelyasmagulova8
  • Вопрос задан 3 года назад

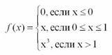
Составить программу для вычисления значения функции по данному значению х.

Приложения:

Ответы

Ответ дал: csgoddddddd
1

Ответ:

x=int(input('Введите переменную x:'))

y=0

if x<=0:

   y=0

if 0<=x<=1:

   y=x

if x>1:

   y=x**3

print('Решние',y)

Объяснение:

вроде бы так если нет то пиши

Вас заинтересует