• Предмет: Математика
  • Автор: daddsadsadsads
  • Вопрос задан 3 года назад

Решите уровнение.Моисеевне привет..

Приложения:

Ответы

Ответ дал: olyavlasova04
0

Ответ:

я надеюсь, что ответ понятен

Пошаговое объяснение:

смотреть фото

Приложения:
Ответ дал: MissDen
2

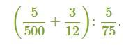
(\frac{5}{500} +\frac{3}{12} ): \frac{5}{75} =3 \frac{9}{10}

1)\frac{5}{500} +\frac{3}{12} =\frac{13*30}{50*30} =\frac{13}{50}

2)\frac{13}{50} : \frac{5}{75} = \frac{39}{10} = 3\frac{9}{10}

Вас заинтересует