• Предмет: Алгебра
  • Автор: ghdghgfjdgjz
  • Вопрос задан 3 года назад

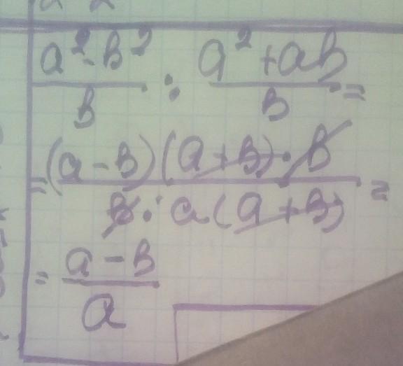
Выполните действие a²-b²/b : a²+ab/b

Ответы

Ответ дал: dapinfo
5
Значит так. Совет простой, просто забей хyū

ghdghgfjdgjz: Ахахах, хотелось бы, но контроха)
Ответ дал: manyny06
3

Ответ:

решение смотри на фотографии

Приложения:
Вас заинтересует