Ответы
Ответ дал:
1
Ответ:
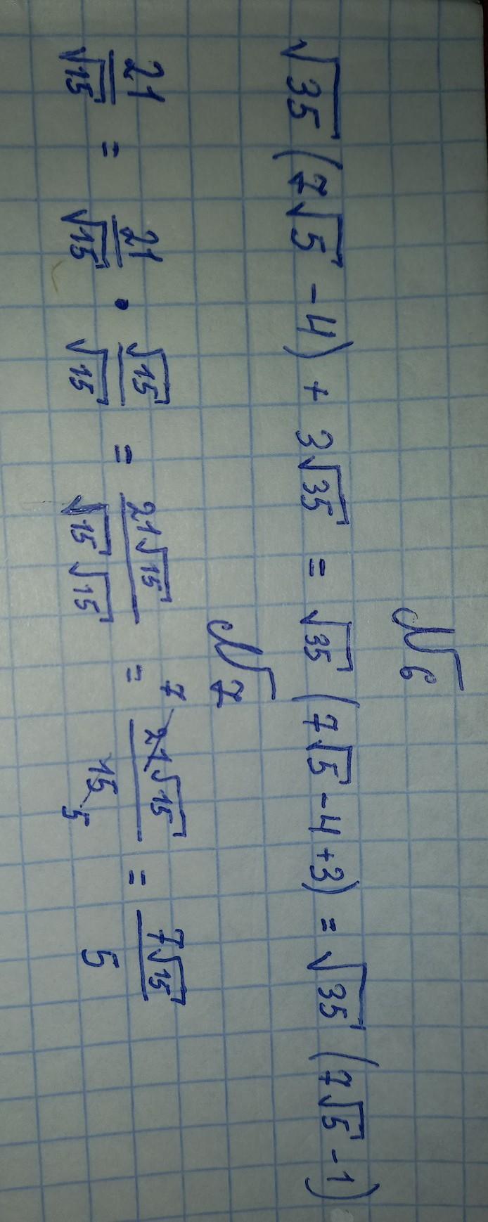
Якось так. Надіюся допоможе
Приложения:

Allka45:
блин, спасибо
Вас заинтересует
2 года назад
2 года назад
2 года назад
2 года назад
8 лет назад
8 лет назад
9 лет назад