• Предмет: Алгебра
  • Автор: R5t78yg
  • Вопрос задан 3 года назад

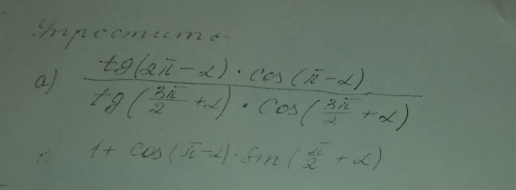
Помогите пожалуйста решить​

Приложения:

Ответы

Ответ дал: Universalka
1

a)\frac{tg(2\pi-\alpha)*Cos( \pi-\alpha)}{tg(\frac{3\pi }{2}+\alpha)*Cos(\frac{3\pi }{2}+\alpha)}=\frac{-tg\alpha*(-Cos\alpha)}{-Ctg\alpha*Sin\alpha}=\frac{\frac{Sin\alpha }{Cos\alpha}*Cos\alpha}{-\frac{Cos\alpha }{Sin\alpha}*Sin\alpha}=-\frac{Sin\alpha }{Cos\alpha} =\boxed{-tg\alpha}\\\\\\b)1+Cos(\pi -\alpha)*Sin(\frac{\pi }{2}+\alpha)=1-Cos\alpha*Cos\alpha=1-Cos^{2}\alpha=\boxed{Sin^{2}\alpha}

Вас заинтересует