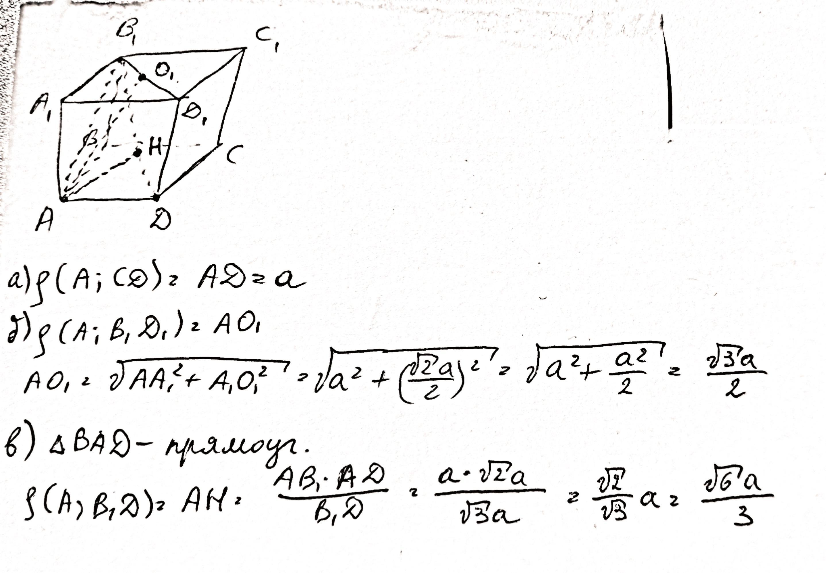
24.Край куба "A, B, C, D, A1, B1, C1, D1" равны "a". Найдите расстояние от точки "A" до края
1)края "CD"
2)прямой "B1, D1"
3)прямой "B1, D"
Ответы
Ответ дал:
1
Ответ:
Объяснение:
см рис
Приложения:

Вас заинтересует
2 года назад
2 года назад
2 года назад
8 лет назад
8 лет назад
9 лет назад