• Предмет: Алгебра
  • Автор: Manuk12
  • Вопрос задан 3 года назад

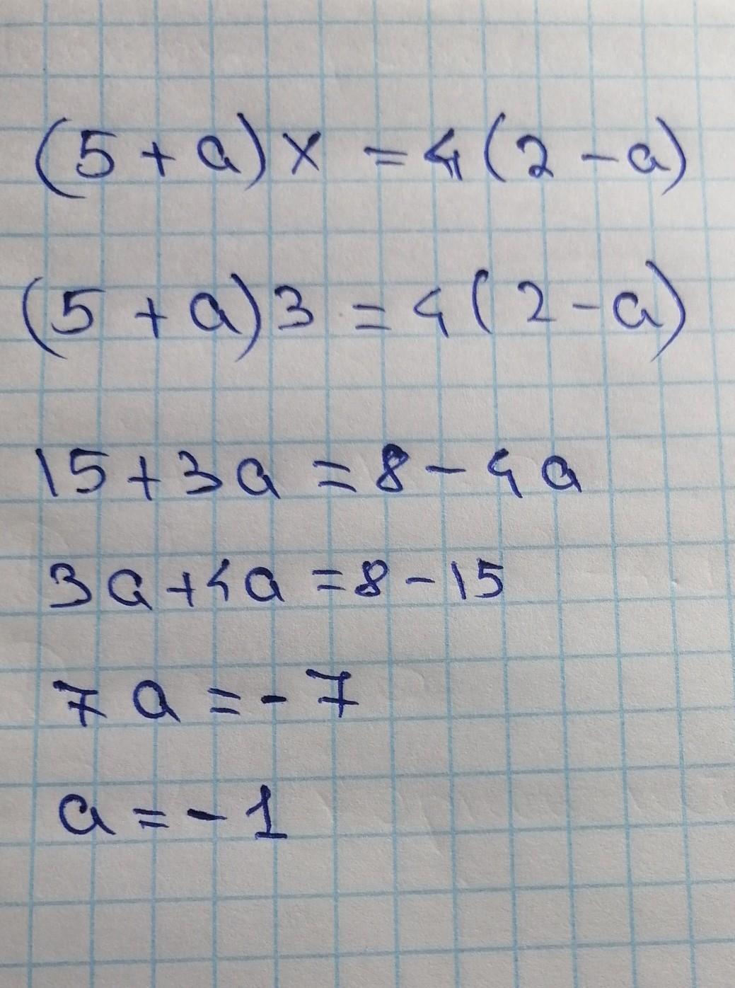
При якому значені а корінь рівняння(5+а)х =4(2-а)дорівнює 3?

Ответы

Ответ дал: bogdanmusafirov33
1

Ответ:

- 1

Объяснение:

Просто подставить вместо х 3

Приложения:
Вас заинтересует