• Предмет: Математика
  • Автор: micucan638
  • Вопрос задан 3 года назад

Помогите срочно
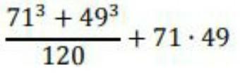
 {71}^{3} + 49 {3} + 71 \times 49 \\ 120

Приложения:

Ответы

Ответ дал: absadykovaaktenge
1

Ответ:

Пошаговое объяснение:

Приложения:
Вас заинтересует