Скорость течения реки 3,5 км/ч.Моторная лодка двигалась 2 часа по течению и 3 часа против течения.При этом она прошла 34 км.Какова скорость лодки?
arsskosh:
6/4 км ч
Ответы
Ответ дал:
1
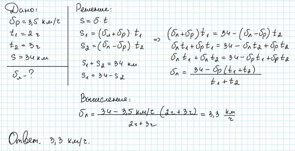
Ответ:
3,3 км/ч
Пошаговое объяснение:
Приложения:

Ответ дал:
0
Ответ:
3,3 км/ч
Пошаговое объяснение:
Вас заинтересует
2 года назад
2 года назад
2 года назад
2 года назад
8 лет назад
8 лет назад
9 лет назад
9 лет назад