• Предмет: Алгебра
  • Автор: Čøşmøş
  • Вопрос задан 3 года назад

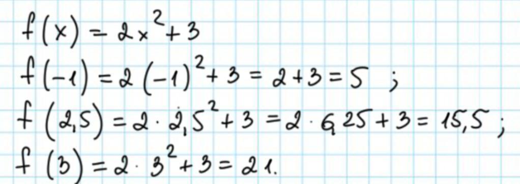
Найдите значение функции у=f(x) в заданных точках:

f(x)=2x²+3, x=-1; 2,5; 3​

Ответы

Ответ дал: AiMus
1

Ответ:

ответы на картинке

Объяснение:

Приложения:
Вас заинтересует