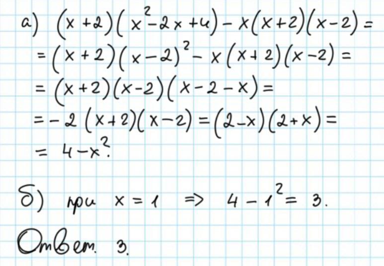
а) упростите выражение (х +2) (х в квадрате -2х +4)-х(х+2)(х-2)
б) покажите что значения выражения (х+2)(х в квадрате -2х +4) -х(х+2)(х-2) при х=1
СРОЧНОООООО ПЖЖЖЖ
Ответы
Ответ дал:
1
Ответ:
решение на картинке: 3
Объяснение:
Приложения:

Вас заинтересует
2 года назад
2 года назад
8 лет назад
9 лет назад