• Предмет: Математика
  • Автор: sashablblblblbl
  • Вопрос задан 3 года назад

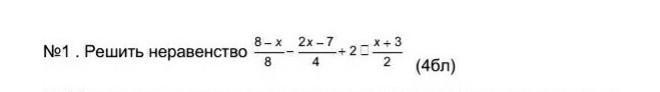
помогите срочно
матем 6 класс​

Приложения:

Ответы

Ответ дал: rovdo2012
0

Ответ:

Пошаговое объяснение:

1 8-х = 15

Вас заинтересует