• Предмет: Алгебра
  • Автор: rusik2580ggg
  • Вопрос задан 3 года назад

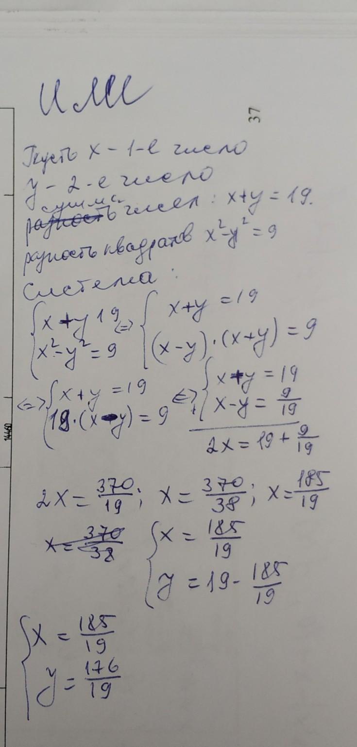
4. Решите задачу с помощью составления системы уравнений. Сумма двух чисел равна 19, а разность их квадратов равна 9. Найдите эти числ
Я прошу срочноо!!!!!!

Ответы

Ответ дал: kirichekov
2

Ответ:

х=185/19

у=176/19

Объяснение:

решение во вложении

Приложения:

rusik2580ggg: cпс
Вас заинтересует