3) [5 баллов]
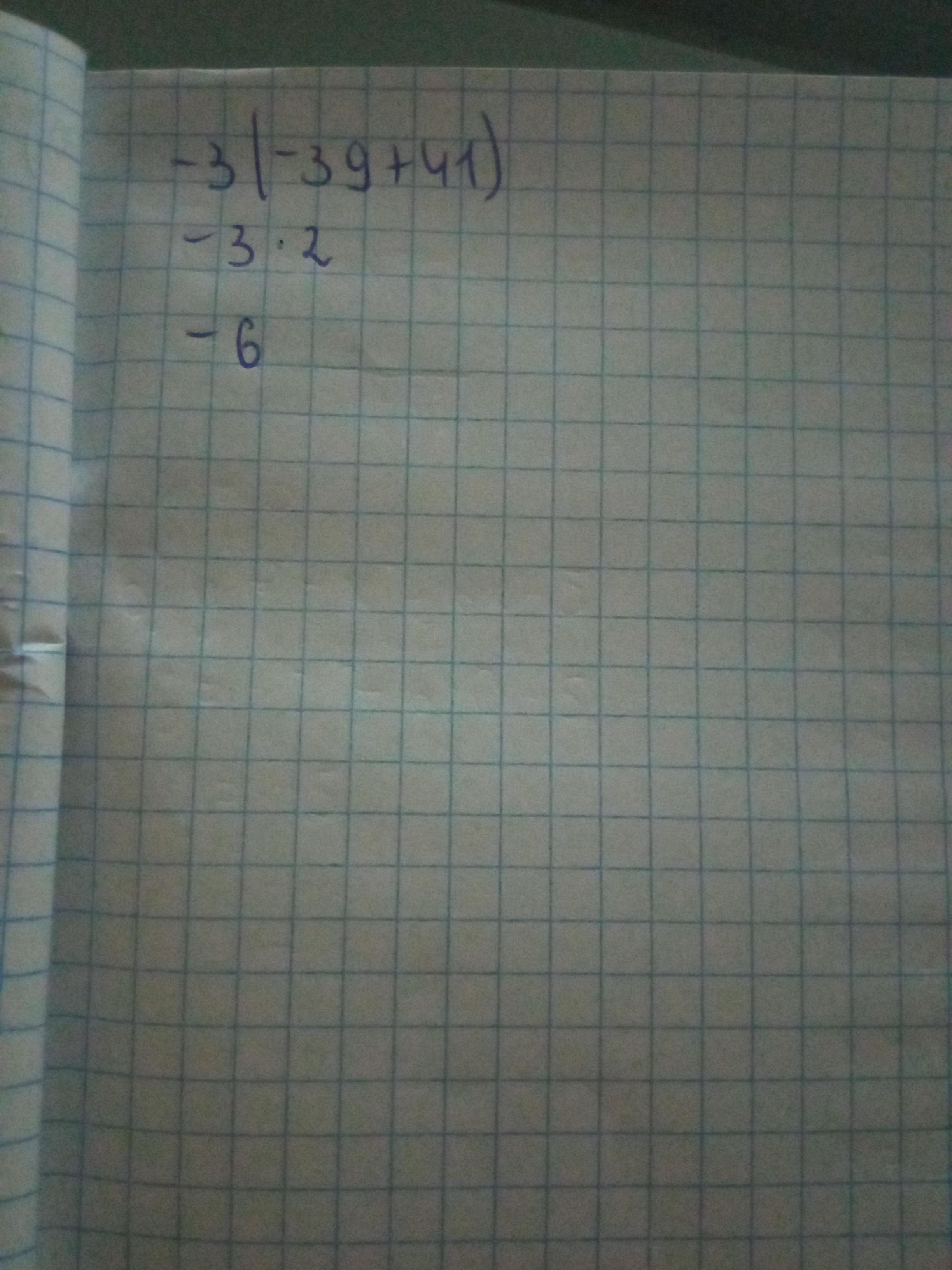
а) Упростите выражение:(3х-4) ²+(2х-4)(2х+4)+65х
b) Покажите, что значение выражения:(3х-4) ²+(2х-4)(2х+4)+65х
при х= -3 равно - 6.
Ответы
Ответ дал:
39
Ответ:
.. фото
Объяснение:
Приложения:


silimabdulaev73:
Спасибо
Вас заинтересует
2 года назад
2 года назад
2 года назад
2 года назад
8 лет назад
8 лет назад
9 лет назад