Ответы
Ответ дал:
3
Ответ:
Вот.
Пошаговое объяснение:
Правильно. Хорошего дня!!)
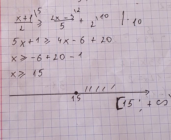
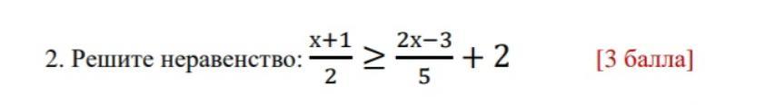
Приложения:

tt7462008:
Спасибо
Ответ дал:
1
вот ответтттттттттттттттттттттт
Приложения:


Вас заинтересует
2 года назад
2 года назад
2 года назад
2 года назад
8 лет назад
9 лет назад
9 лет назад