Ответы
Ответ дал:
3
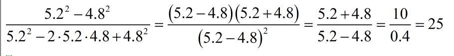
Ответ:
25
Объяснение:
///////////////////////
Приложения:

Вас заинтересует
2 года назад
2 года назад
2 года назад
2 года назад
8 лет назад
8 лет назад
9 лет назад