Упростить (х+2)(х^2-2х+4)-х(х-3)(х+3);.
б) Показать, что значение выражения
(х+2)(х^2-2х+4)-х(х-3)(х+3) при х=1 равно 17.
Ответы
Ответ дал:
0
Ответ:
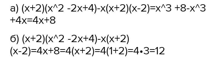
на фото ответ
Объяснение:
пожалуйста пометьте как лучший ответ
Приложения:

sayyorasweet:
Я 5класс ито ответила
Вас заинтересует
2 года назад
2 года назад
2 года назад
2 года назад
8 лет назад
9 лет назад
9 лет назад