Ответы
Ответ дал:
0
Ответ:
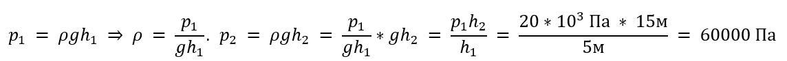
p2 = 60000 Па
Объяснение:
h1 = 5м. p1 = 20*10^3 Па. h2 = 15 м.
Приложения:

Вас заинтересует
2 года назад
2 года назад
2 года назад
8 лет назад
9 лет назад
9 лет назад