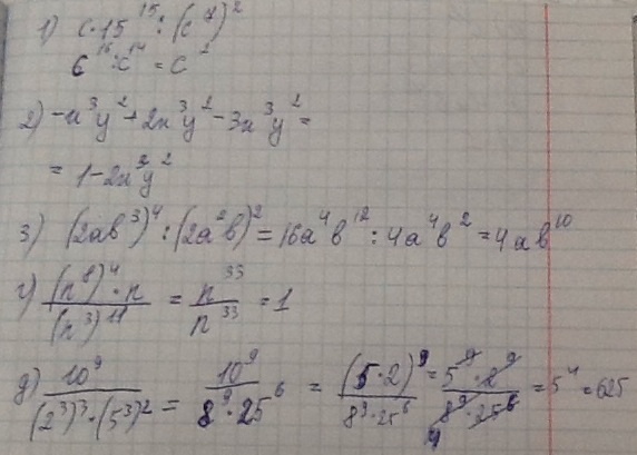
а)c*c^15:(c^7)^2
б)-х:^3y^2+2x^3y^2-3x^3*2^2
в)(2ab^3)^4:(2a^3b)^2
г)(n^8)^4*n :(n^3)^11
д)10^9 :(2^3)^3*(5^3)^2
Ответы
Ответ дал:
0
Вроде бы как то так)
Приложения:

Вас заинтересует
2 года назад
2 года назад
8 лет назад
10 лет назад
10 лет назад
10 лет назад