• Предмет: Алгебра
  • Автор: buchnoiilya
  • Вопрос задан 3 года назад

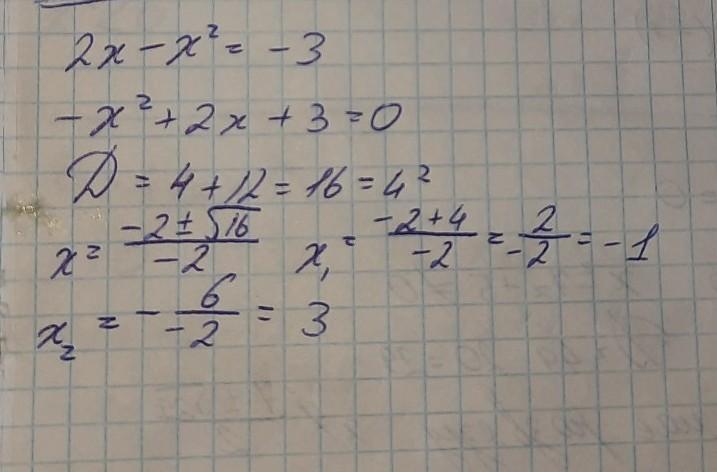
найдите значение дискриминанта 2х - х^2 = - 3

Ответы

Ответ дал: ZlataSergeeva2000
3

Ответ:

Дискриминант равен 16

Объяснение:

2х - х² = - 3

х² - 2х - 3 = 0

D = (-2)² - 4 · (-3) = 4 + 12 = 16

Ответ дал: inessayurkiv
2

Ответ:

на фото, що не зрозуміло запитуйте!

Приложения:
Вас заинтересует