• Предмет: Алгебра
  • Автор: Лихандре
  • Вопрос задан 3 года назад

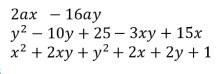
2. Разложите многочлен на множители:

Приложения:

Ответы

Ответ дал: MikeRex
1

Ответ:

1)2ax-16ay=2a(x-8y)

2)y²-10y+25-3xy+15x=(y-5)(3x-y+5) либо x(15-3y)+y²-10y+25

3)x²+2xy+y²+2x+2y+1=x(x+2y)+2x+y²+2y+1=y+(x+y+1)²+1+2x

Объяснение:

Вас заинтересует