• Предмет: Алгебра
  • Автор: danilgnatenko1234567
  • Вопрос задан 3 года назад

Алгебра пожалуйста решите
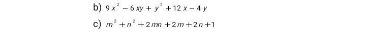
Разложите многочлен на множители

Приложения:

Ответы

Ответ дал: artemkolomytsev11111
1

Объяснение:

c) (m+n)^2 +2(m+n) +1=((m+n)+1)^2

b)(3x-y)^2 +4(3x-y)

Вас заинтересует