помогите решить уравнения
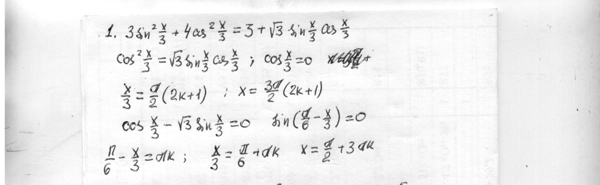
1. 3sin^2x/3+4cos^2x/3=3+ корень 3 sin x/3cosx/3
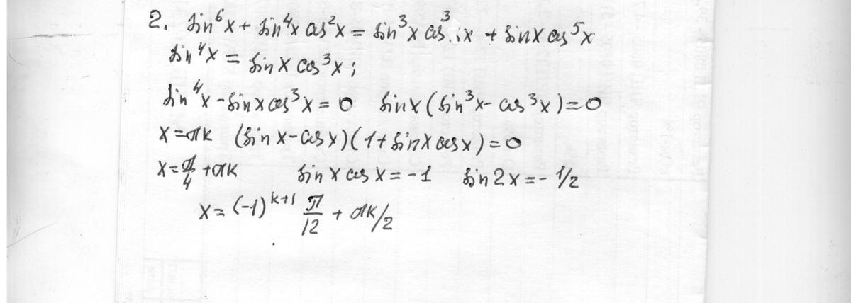
2. sin^6x + sin^4x cos^2x = sin^3 x cos3x + sinx cos^5x
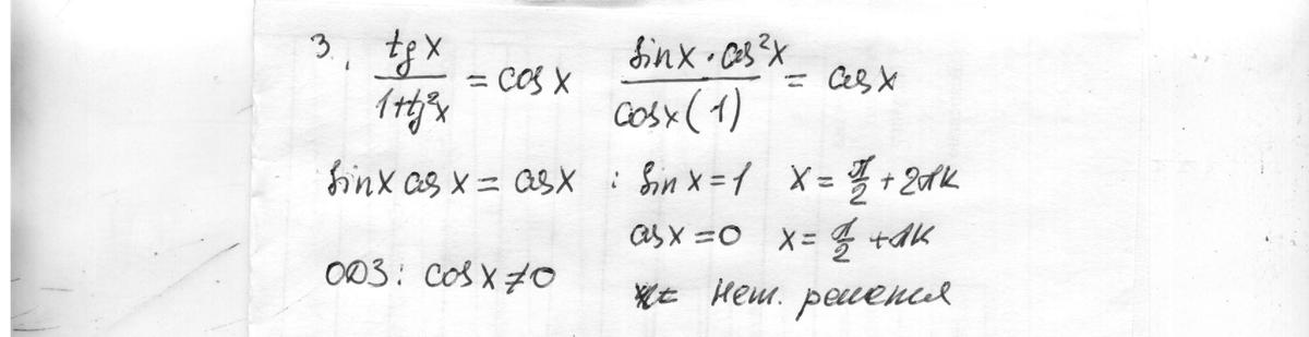
3. tgx/1+tg^2x= cosx
Ответы
Ответ дал:
0
Решение:
Смотри вложение:.....
Смотри вложение:.....
Приложения:



Вас заинтересует
2 года назад
10 лет назад
10 лет назад
10 лет назад