• Предмет: Математика
  • Автор: gannae89
  • Вопрос задан 3 года назад

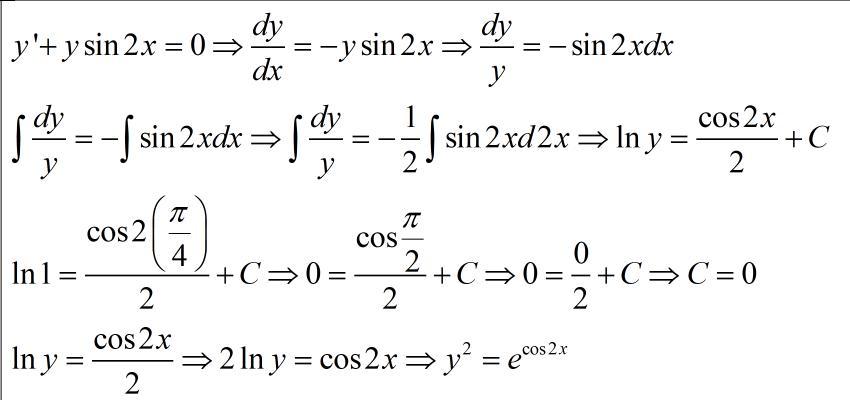
2. Найдите решение, удовлетворяющее начальному условию

Приложения:

Ответы

Ответ дал: palilov243659
1

Ответ:

Пошаговое объяснение:

.....////////////////////

Приложения:
Вас заинтересует