• Предмет: Алгебра
  • Автор: olakarnauhova656
  • Вопрос задан 3 года назад

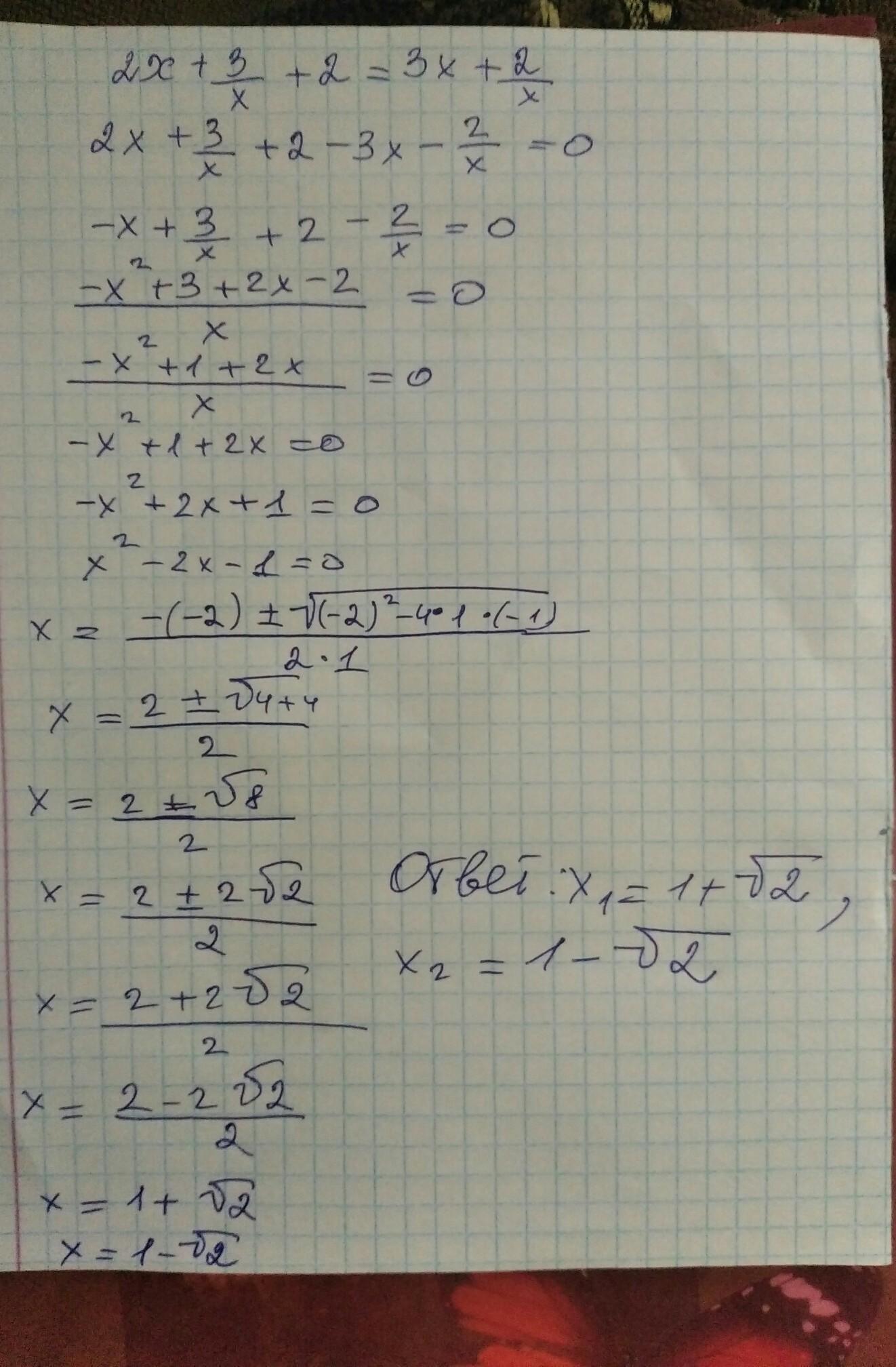
уравнение 2x+3/x+2=3x+2/x​

Ответы

Ответ дал: Аноним
2

Ответ:

Ответ на фотографии

Приложения:

olakarnauhova656: не то
Аноним: Вы уверены ?
olakarnauhova656: да
olakarnauhova656: 2 корня должно быть
Вас заинтересует