• Предмет: Алгебра
  • Автор: oleg200759
  • Вопрос задан 3 года назад

СРОЧНО ПОМОГИТЕ БУДУ РАД ​

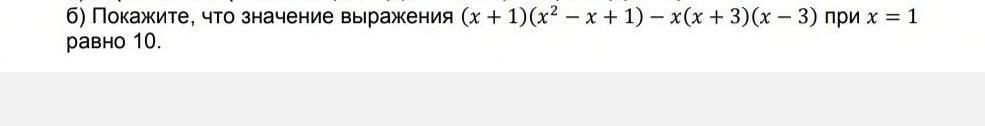
Приложения:

Ответы

Ответ дал: Fivez
0

Ответ:

(1+1)(1-1+1)-1(1+3)(1-3)=2*1-1*4*(-2)=2+8=10

Объяснение:

(1+1)(1-1+1)-1(1+3)(1-3)=2*1-1*4*(-2)=2+8=10

Ответ дал: sangers1959
1

Объяснение:

(x+1)*(x^2-x+1)-x*(x+3)*(x-3)=x^3+1^3-x*(x^2-3^2)=\\=x^3+1-x^3+9x=9x+1=9*1+1=9+1=10.


puma69086: здравствуйте можете помочь с алгеброй пожалуйста
Вас заинтересует