• Предмет: Алгебра
  • Автор: vovnenkovika480
  • Вопрос задан 3 года назад

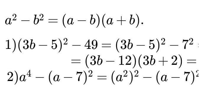
помогите розкласть на множители пожалуйста (3b-5)³-79

Ответы

Ответ дал: margarittalomova
0

Ответ:

ррррррррррррррр это правильно

Приложения:
Вас заинтересует