• Предмет: Математика
  • Автор: Аноним
  • Вопрос задан 3 года назад

ПО МАТЕМАТИКЕ СОЧ ПОМОГИТЕ ПОЖАЛУЙСТА ТОЛЬКО 3,4,5

Приложения:

Ответы

Ответ дал: bagzhamal56
1
Ответ 100%верныыый отвечаююююююю
Приложения:
Ответ дал: Khomyachok1
1

Ответ:

Задание№3

В 1 ящике-8,84 кг

Во 2 ящике- в 1 1/5 раза больше

Всего-?кг

Решение:

1 1/5=6/5

1)8,84×6/5=10,608(кг)- во втором ящике.

2)8,84+10,608=19,448(кг)-всего в 2 ящиках

Ответ:всего 19,448 кг

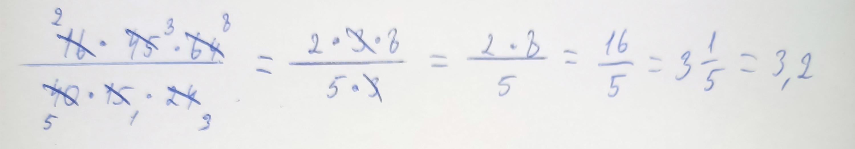
Задание№4

Прикрепила фото

Задание№5

Прикрепила фото

Пошаговое объяснение:

Сделай ответ лучшим пожалуйста, спасибо)

P.s удачи в СОЧе)

Приложения:

Аноним: Спасибо большое
Вас заинтересует