• Предмет: Математика
  • Автор: oartemij29
  • Вопрос задан 3 года назад

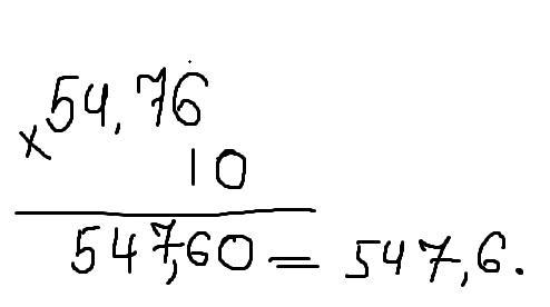
54,76*10 столбиком вычисление

Ответы

Ответ дал: nikitabogoslov7
4

Ответ:

Смотрите прикрепленное фото.

На самом деле можно было решить без столбика, просто перенести запятую на один знак вперед.

Ответ правильный, надеюсь на лучший ответ. Всего доброго!

Приложения:
Ответ дал: nargizgadzibalaeva5
0

547,6 вот и ответ (перенесли запятую на один знак вправо)

Приложения:
Вас заинтересует