• Предмет: Алгебра
  • Автор: tmuhammedumar
  • Вопрос задан 3 года назад

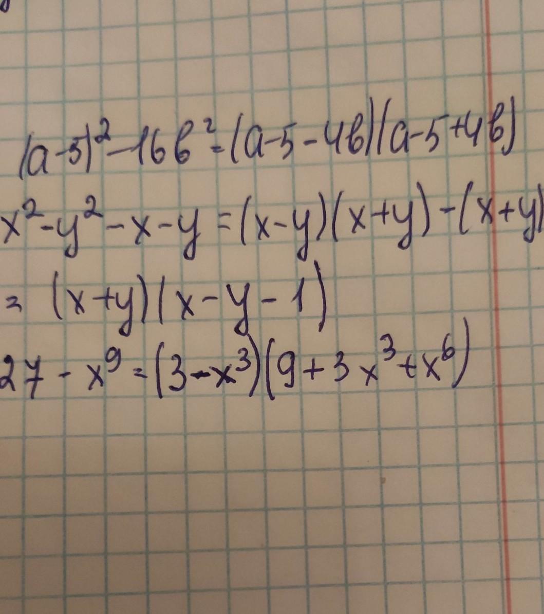
докажите в виде произведения
(а-5)²-16b²
х²-у²-х-у
27-х⁹​

Ответы

Ответ дал: nastyamilena10
1

Ответ:

.......................

Приложения:
Вас заинтересует