• Предмет: Алгебра
  • Автор: Аноним
  • Вопрос задан 10 лет назад

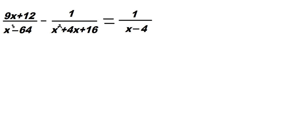
решите дробно рациональное уравнение!

Приложения:

Ответы

Ответ дал: Аноним
0
О.З.(х-4)(х²+4х+16)≠0⇒х≠4,х²+4х+16>0при любом х,т.к.D<0
9х+12-х+4=х²+4х+16
х²-4х=0
х(х-4)=0⇒х=0 и х=4-не удов усл
Ответ дал: Аноним
0
артем помоги непонятно
Ответ дал: Artem112
0
 frac{9x+12}{x^3-64}- frac{1}{x^2+4x+16}= frac{1}{x-4}   
\
x neq 4
\
9x+12-(x-4)=x^2+4x+16
\
9x+12-x+4=x^2+4x+16
\
x^2-4x=0
\
x(x-4)=0
\
x=0
\
x neq 4
Ответ: 0
Вас заинтересует