• Предмет: Математика
  • Автор: oleksandragudim
  • Вопрос задан 3 года назад

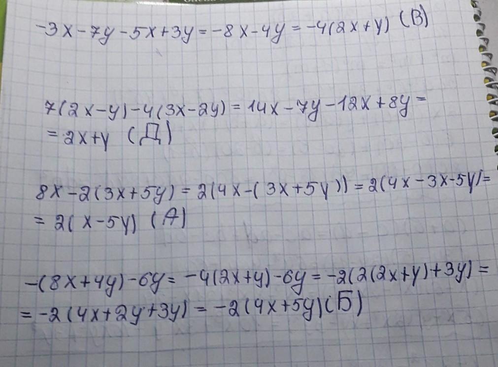
помогите срочно! 6 класс. Только напишите решение​

Приложения:

oleksandragudim: мхпх

Ответы

Ответ дал: neonilla100208
1

По идеи так как на фото, там можно после ответов нще написать ровно и ответ который под буквой

Приложения:

neonilla100208: там ошибка, еще*
oleksandragudim: где?
oleksandragudim: ахп
neonilla100208: под вкладеным файлом
oleksandragudim: спасибо
oleksandragudim: спокойной ночи
neonilla100208: ахах, спокойной ночи)
oleksandragudim: ))
oleksandragudim: ))
Вас заинтересует