• Предмет: Алгебра
  • Автор: jakstarrr
  • Вопрос задан 3 года назад

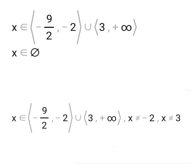
Решите неравенство на фото

Приложения:

Ответы

Ответ дал: Lovelesss
1

Ответ:

Вот, удачи

Объяснение:

Приложения:
Вас заинтересует