• Предмет: Алгебра
  • Автор: Аноним
  • Вопрос задан 3 года назад

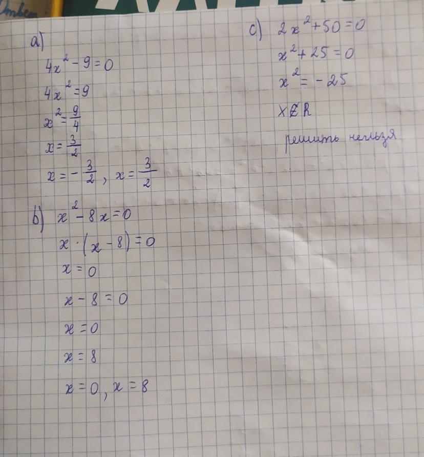
№1. Решите неполные квадратные уравнения:
а) 4x^2– 9 = 0;
b) x^2 — 8x = 0;
c) 2x^2 + 50 = 0;​

Ответы

Ответ дал: vserbatyh32410
1

решение:

3) утверждение ложное для любого значения х, по скольку степенная функция с четным натуральным показателем степени всегда положительна или 0

Приложения:
Вас заинтересует