• Предмет: Алгебра
  • Автор: Аноним
  • Вопрос задан 11 лет назад

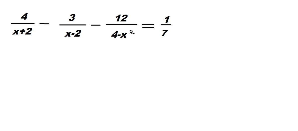
решите дробно рациональное уравнение!

Приложения:

Ответы

Ответ дал: Artem112
0
 frac{4}{x+2}- frac{3}{x-2}- frac{12}{4-x^2}= frac{1}{7} \ x neq pm2 \ 28(x-2)-21(x+2)+84=1 \ 28x-56-21x-42+84=x^2-4 \ x^2-7x+10=0 \ D=49-40=9 \ x_1= frac{7+3}{2} =5 \ x_2 neq frac{7-3}{2} =2
Ответ: 5
Ответ дал: IUV
0
4/(х+2) -  3/(х-2) - 12/(4-х^2) = 1/7
ОДЗ: х не равно 2; х не равно - 2;
умножим все на 7*(x^2-4)
4/(х+2) -  3/(х-2) - 12/(4-х^2) = 1/7
4*7*(х-2) -  3*7*(х+2) + 12*7 = (x^2-4)
x^2 -4 - 4*7*(х-2) +  3*7*(х+2) - 12*7 = 0
x^2 - 7х + 10 = 0
х1=5
х2=2 - не входит в одз
ответ х=5




Вас заинтересует