Решите задачу с помощью квадратного уравнения
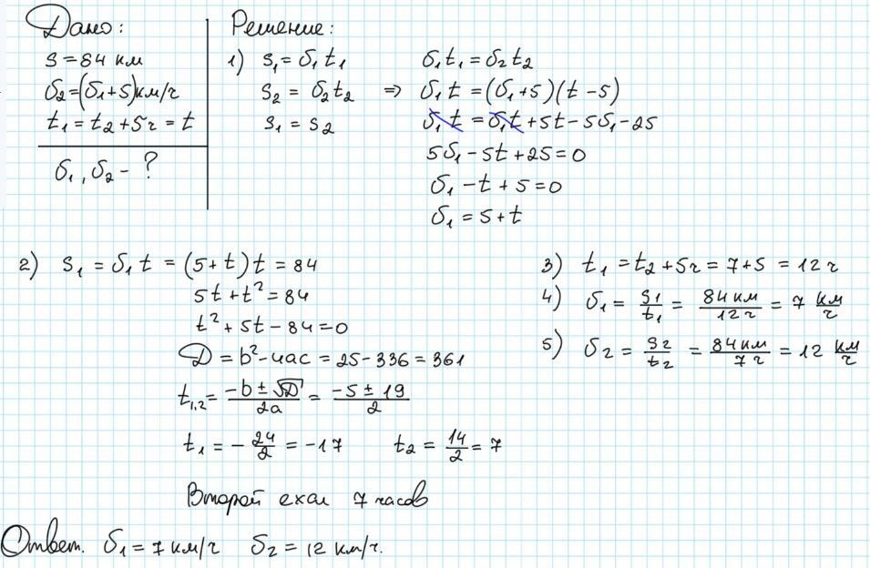
Велосипедист выехал с постоянной скоростью из города А в город В, расстояние между которыми равно 84 км. На следующий день он отправился обратно со скоростью на 5км/ч больше прежней. По дороге он сделал остановку на 5 часов. В результате он затратил на обратный путь столько же времени, сколько на путь из А в В. Ответ дайте в км/ч
Ответы
Ответ дал:
1
Ответ: 7 км/ч
Ответ на задачу приложил на фотографии
Приложения:

Ответ дал:
0
Ответ:
Ответы на картинке. 7 и 12
Объяснение:
Понятия не имею каккую конкретно нужно было найти скорость. Поэтому нашёл всё. В другой раз конкретнее пишите условие.
Приложения:

Вас заинтересует
2 года назад
2 года назад
2 года назад
9 лет назад
9 лет назад