ДАЮ 55 БАЛЛОВ! СРОЧНО, ПОЖАЛУЙСТА.
ФИЗИКА 9 КЛАСС.
ВЫЧИСЛИТЬ :1ПЕРИОД КОЛЕБАНИЙ
2 ЧАСТОТУ КОЛЕБАНИЙ
L - 2,5мГн
С- 1,5 мкФ
Аноним:
сори
Ответы
Ответ дал:
0
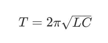
Дано:
L=2,5 мГн, C=1,5 мкФ, T−?
Решение задачи:
Период свободных колебаний в колебательном контуре можно определить по формуле Томсона:
(первая фотография сверху)
В этой формуле L – индуктивность катушки, C – электроемкость конденсатора.
Задача решена, посчитаем численный ответ:
(вторая фотография сверху)
Ответ: 385 мкс
Приложения:


Вас заинтересует
2 года назад
2 года назад
9 лет назад