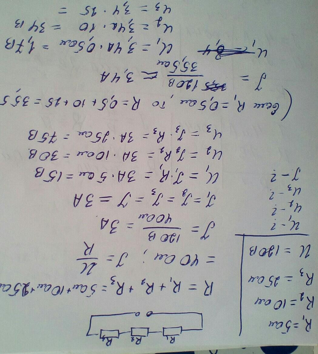
Резисторы соединены последовательно с тремя резисторами 0,5 Ом, 10 Ом и 25 Ом, подключенными к постоянному напряжению 120 В. Определите напряжение по току в каждом резисторе.
Ответы
Ответ дал:
1
Ответ:
............................................
Приложения:

Вас заинтересует
2 года назад
2 года назад
2 года назад
2 года назад
8 лет назад
9 лет назад