• Предмет: Математика
  • Автор: com202055
  • Вопрос задан 3 года назад

Срочно нужна помощь ​

Приложения:

Ответы

Ответ дал: AiMus
0

Ответ:

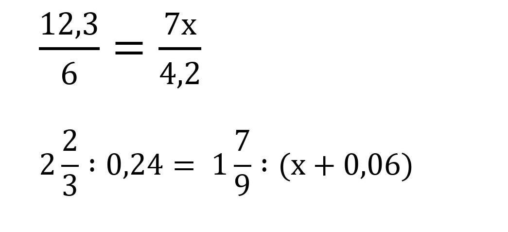
Ответы: 12,3; 0,1. Всё на картинке.

Пошаговое объяснение:

Приложения:
Ответ дал: dkuroev
0
Твоё, то, что под чертой
Приложения:
Вас заинтересует