Ответы
Ответ дал:
3
Ответ:
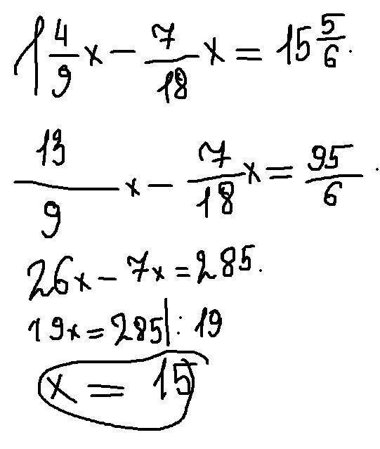
Смотрите решение на фото.
Вроде правильно. Надеюсь на лучший ответ, всего доброго!
Приложения:

gapparovamargarita08:
я не совсем поняла как это написать,можешь на листочке написать?
Вас заинтересует
2 года назад
2 года назад
2 года назад
8 лет назад
9 лет назад
9 лет назад