• Предмет: Алгебра
  • Автор: anna82757
  • Вопрос задан 3 года назад

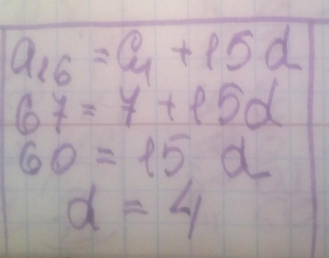
Знайдіть різницю арифметичної прогресії, якщо її перший член дорівнює 7, а шістнадцятий 67​

Ответы

Ответ дал: manyny06
0

Ответ:

решение смотри на фотографии

Приложения:
Вас заинтересует