• Предмет: Алгебра
  • Автор: Аноним
  • Вопрос задан 3 года назад

Дайте ответ срочно нужно! Дам 30б
задание на картнке

Приложения:

Ответы

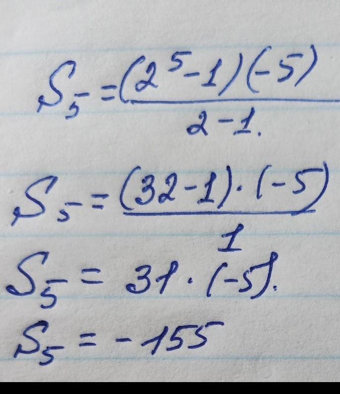
Ответ дал: zguranikita05
1

Ответ:

там не сложно и делается по формуле

Приложения:
Ответ дал: anarajym
1

Ответ:

Вот ответ

Объяснение:

Не зачто можно через фотомачь

Приложения:

Аноним: спасибо большое
zguranikita05: новые умники?
Аноним: )))
Вас заинтересует