Ответы
Ответ дал:
1
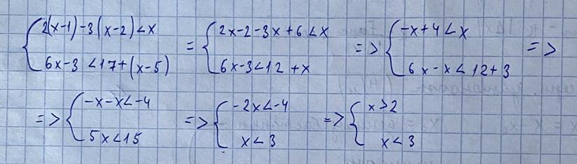
Ответ:{х>2
.............{х<3
.............{х<3
Приложения:

islamdautov09mailru:
правильно?
Вас заинтересует
2 года назад
2 года назад
8 лет назад
9 лет назад
9 лет назад