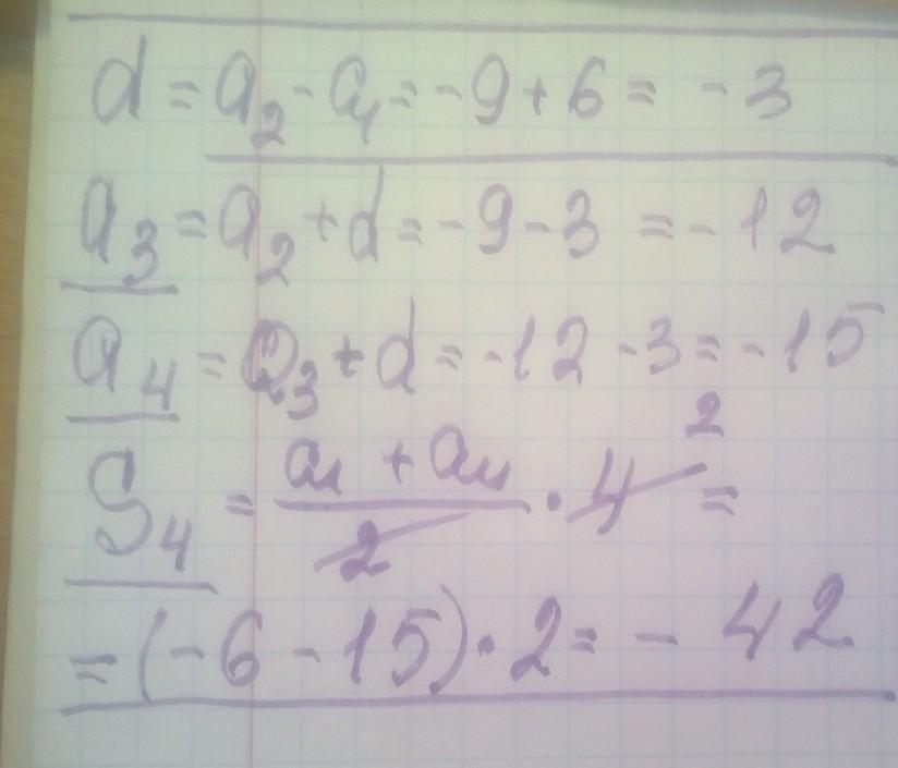
Обчисли наступні два члени арифметичної прогресії та суму перших чотирьох членів, якщо a1=−6 і a2=−9.
a3=
a4=
S4=
Відповісти!
Ответы
Ответ дал:
1
Ответ:
решение смотри на фотографии
Приложения:

Вас заинтересует
2 года назад
2 года назад
2 года назад
8 лет назад
8 лет назад
9 лет назад