• Предмет: Геометрия
  • Автор: artimkills
  • Вопрос задан 3 года назад

Помогите! Я отдам 35 баллов
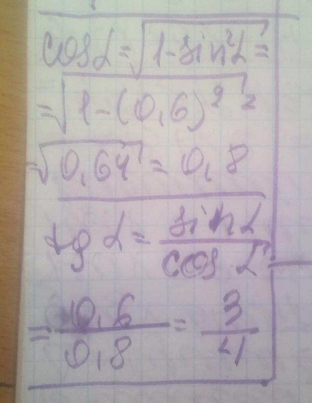
Найти tg альфа, cos альфа если sin альфа = 0.6

Ответы

Ответ дал: manyny06
1

Ответ:

решение смотри на фотографии

Приложения:
Вас заинтересует