• Предмет: Алгебра
  • Автор: alinamusagina
  • Вопрос задан 3 года назад

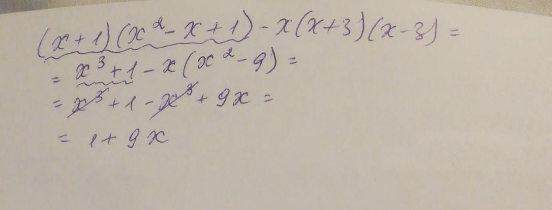
упростите выражение (х+1)(х^2-х+1)-х(х+3)(х-3)​

Ответы

Ответ дал: serovaksusa1
1

Ответ:

Смотри решение на фото

Приложения:

alinamusagina: спасибо огромное
Вас заинтересует