• Предмет: Математика
  • Автор: 678890000hjhhg
  • Вопрос задан 3 года назад

ОЧЕНЬ СРОЧНО УМОЛЯЮ!!!ПРОШУ!!!!

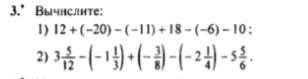
Приложения:

Ответы

Ответ дал: pro100iluha2003
0

Ответ:

1. 17

2. 19/24

....


678890000hjhhg: Нужно с объяснением
Вас заинтересует