• Предмет: Математика
  • Автор: Аноним
  • Вопрос задан 3 года назад

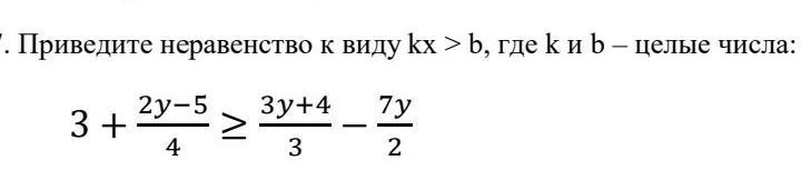
Приведите неравенство к виду kx > b, где k и b – целые числа:










Приложения:

Ответы

Ответ дал: manyny06
0

Ответ:

решение смотри на фотографии

Приложения:
Вас заинтересует