• Предмет: Алгебра
  • Автор: evaerohina22406580
  • Вопрос задан 3 года назад

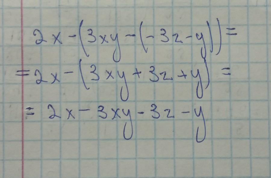
Раскройте скобки 2х-(3ху-(-3z-у))
=2х? 3ху? 3z? у

Ответы

Ответ дал: bodyatop9323
0

Объяснение:

больше ничего сделать нельзя

Приложения:
Вас заинтересует